茶馆轻量版ios版下载,qq叫小妹,qq同城服务,免费空降软件

MENU

新闻中心

当前位置: 首页» 新闻中心» 科研进展

基因组所王丽课题组联合多家单位揭示玉米有害突变的改变模式及其对表型性状的影响

2023-08-07 06:00:00

【字体:

  

近日,基因组所王丽课题组联合多家单位在《分子生物学与进化(Molecular Biology and Evolution)》(IF = 10.7)上在线发表了题为 “Unraveling prevalence and effects of deleterious mutations in maize elite lines across decades of modern breeding” 的研究论文,深入揭示了中美两国玉米在不同育种年代有害突变的改变模式及其对表型性状的影响,为玉米未来的育种改良工作提供重要的分子靶标。



生物在世代更替中,会产生大量的突变,其中大多数是有害的,导致个体适合度(fitness)的降低。未来的育种可能涉及有害等位基因的检测和清除,以减少这些有害突变对作物适应性产生的负面影响。然而,我们对在现代作物育种进程中有害突变的改变模式及其对表型性状的影响知之甚少。



在玉米育种过程中,农艺性状杂种优势的百分比一直是育种家关注的话题。在这项研究中,研究团队对过去七十年在中国和美国广泛用于制种的350份优良玉米自交系创制的120份杂交种的关键农艺性状的表型和杂种优势百分比进行统计分析,结果表明杂交种的开花吐丝间隔期、相对穗高、穗分枝数和上叶夹角与亲本自交系中相同性状的选择方向一致,但杂种优势和杂种优势百分比并未随育种年代发生显著变化(图1)。研究人员也对350份优良玉米自交系中的有害突变的数量和频率进行分析,发现玉米在育种改良过程中轻微有害突变积累,但重度有害突变减少,表明遗传漂变和净选择分别对两种类型的突变起主导作用(图2)。



研究人员对120份杂交种中有害突变频率进行分析,发现当轻微有害突变的频率较低时,SNP位点更有可能是杂合的,符合互补作用对杂种优势的解释。选用不同的育种群体的材料作为亲本进行杂交,更有利于杂种优势发挥作用。为了探索这一假设在分子遗传上的证据,研究人员评估了玉米不同的育种群体(硬杆stiff stalk、非硬杆non stiff stalk、iodent和黄早四)的材料的联合位点频谱,结果发现6对育种群体的联合位点频谱之间呈现不对称分布:当轻微有害等位基因在一组中以高频率出现时,在另一组中往往会以低频率出现。这表明用不同育种群体作为亲本产生的杂交种可能存在轻微有害突变的互补效应。而对来自同一育种群体的自交系进行随机取样时,观察到联合位点频谱为对称分布,这表明父母本都来自于同一育种群体的杂交后代具有较弱的互补作用(图3)。




图1 120个杂交种在不同育种时期的表型性状和杂种优势百分比的变化趋势



图2 不同育种群体间的轻微有害突变的联合位点频谱热图



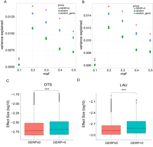
有害突变往往会影响农艺性状。该研究发现,在玉米中,当次等位基因频率(minor allele frequency)相同时,有害突变比中性突变对表型性状的变异解释度更高,特别是与叶夹角和开花时间相关的性状(图3)。相较于中性突变,有害突变对性状影响的更大效应是否与选择的方向性有关呢?研究人员利用贝叶斯方法同时估计了350个自交系群体中每个性状的遗传结构参数,结果表明两个叶夹角性状处于正选择状态,而与开花时间相关的性状处于负选择状态。无论在正选择还是负选择下,有害突变都比中性突变表现出对性状更强的效应,说明有害突变的效应大小与性状选择的方向无关(图4)。




图3 有害突变对玉米开花时间和上叶夹角表型的变异解释度



图4 根据GCTB分析估算的S值以及不同等位基因频率的有害突变对上叶夹角和开花天数性状的效应大小



基因组所博士后孙士超和作物科学研究所王宝宝研究员为论文的共同第一作者。基因组所王丽研究员、华南农业大学王海洋教授和美国加州大学戴维斯分校Jeffrey Ross-Ibarra教授为论文通讯作者。该研究得到了国家自然科学基金、广东省基础与应用研究重大专项以及深圳市科技项目等的资助。



原文链接:https://doi.org/10.1093/molbev/msad170


TOP TOP 主站蜘蛛池模板: 兰州市| 广丰县| 方正县| 湄潭县| 孟州市| 绥芬河市| 商都县| 西乌珠穆沁旗| 宣化县| 吉首市| 永和县| 嘉鱼县| 牟定县| 奈曼旗| 洪洞县| 南和县| 北宁市| 大竹县| 商都县| 察哈| 大埔县| 杂多县| 会宁县| 汽车| 东乌珠穆沁旗| 上思县| 金川县| 淳化县| 曲水县| 西贡区| 竹北市| 金塔县| 大关县| 榆中县| 松滋市| 霍山县| 乐陵市| 临泉县| 双鸭山市| 灵武市| 鹤山市|