茶馆轻量版ios版下载,qq叫小妹,qq同城服务,免费空降软件

MENU

新闻中心

当前位置: 首页» 新闻中心» 科研进展

The Plant Journal|基因组所联合多校揭示异源四倍体棉花盐胁迫响应机制

2022-06-21 06:00:00

【字体:

  

棉花(Gossypium)是世界上最重要的经济作物之一,同时也是多倍体研究的理想模式材料。作为真核生物尤其是植物中普遍的一种现象,多倍体通常被认为是演化创新和物种多样化的驱动力,特别是在环境胁迫条件下([1])。在异源多倍体中,部分同源基因(homoeologous genes)的表达模式既可能是直接继承了来自于其亲本二倍体中已存在的祖先状态即亲代遗产parental legacy),也可能是在多倍化事件后形成的创新性调控机制(regulatory innovation);后者尤其可能赋予异源多倍体更广泛的环境应激响应模式。

2022年6月10日,The Plant Journal在线发表了美国爱荷华州立大学Jonathan F. Wendel研究团队、浙江大学祝水金教授团队和中国农业科学院棉花所和基因组所胡冠菁研究员团队合作题为Parental legacy versus regulatory innovation in salt stress responsiveness of allopolyploid cotton (Gossypium) species”的研究论文。该研究通过比较具有不同耐盐性的两个异源四倍体棉花物种 - 陆地棉G.hirsutum和黄褐棉G.mustelinum相对于其模式二倍体A基因组和D基因组祖先种的转录调控机制,深入探讨了多倍体物种盐胁迫响应机制形成的两类进化来源:亲代遗产vs调控创新



在前期研究中,作者们首先通过对分布世界各地的棉属12个不同二倍体和四倍体物种进行系统的苗期耐盐性检测,初步探索了野生棉物种、基因组型、倍性之间响应盐胁迫的表型多样性([2])。该工作摸索确立了适合野生材料的水培、盐处理以及表型检测技术,采用50 mmol/L和100 mmol/的NaCl浓度模拟胁迫盐度,从植株的生长形态、光合作用、抗氧化酶活性、离子运输等多个角度综合分析响应盐胁迫的29个形态及生理生化性状。此类多性状的耐盐性鉴定在前人工作中主要集中于陆地棉和海岛棉的栽培品种,针对多个野生物种的报道尚属首次。结果显示,耐盐性最高的几个野生物种依次为(AD)(4)黄褐棉、D(3-k)克劳茨基棉、A(1)草棉与A(2)亚洲棉(1)。在二倍体中,A型物种的耐盐性整体高于D型物种的耐盐性。四倍体AD型种质的抗盐性整体介于A型与D型之间,并且更接近于D基因组。这些发现为鉴定优异耐盐种质和下一步杂交选育新品种提供了关键依据和契机;在此之前,研究者们对于野生棉种抗逆性及适应性的认知缺乏系统的实验验证,主要基于对植物生长状态及生态环境的观察推断。


114个被检测种质资源在两个不同盐浓度下的综合耐盐指数;引用自(Dong et al. 2019)图4。图最下部,黄褐棉(G. mustelinum)具有最高综合耐盐指数。


在该研究中,为了进一步解析多倍化发生之后盐胁迫响应的机制形成和进化来源,作者们选取了四个代表棉种进行了比较转录组学分析,包括异源多倍棉种的陆地棉(AD(1),G. hirsutum)和黄褐棉(AD(4),G. mustelinum),以及其二倍体祖先模式棉种亚洲棉(A(2),G. arboreum)和雷蒙德氏棉(D(5),G. raimondii)。其中两个四倍体棉种的耐盐性具有显著差异,同时超出两个亲本的耐盐性范围,即AD(4) > A(2) > D(5) > AD(1)。多变量分析表明该转录组中约1/3基因的表达在盐胁迫处理后发生显著改变;不同棉种的盐胁迫响应基因与特异性共表达网络??橐簿哂薪洗蟛钜?。与前期表型研究一致,两个多倍体棉花均呈现出偏向于D基因组祖先棉种的响应模式。与耐盐性较低的陆地棉相比,耐盐性较强的黄褐棉具有更低水平的超亲下调胁迫响应基因。



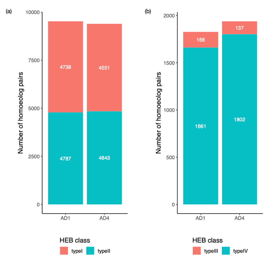
为了详细区分耐盐响应转录调控机制的不同进化来源,作者们对每组部分同源以及直系同源基因的表达模式(即AD:At vs AD:Dt vs A2 vs D5)进行了多因素设计(~ homoeolog + ploidy + treatment + homoeolog:ploidy + homoeolog:treatment + ploidy:treatment+ homoeolog:ploidy:treatment),从而对四种类型的HEB(homoeolog expression bias)模式进行了分类。-类型I只具有显著的homoeolog效应而不响应盐胁迫,表明四倍体中的HEB遗传自亲本状态,属于静态非条件性的“亲代遗产”。类型II具有显著的homoeolog:ploidy效应也不响应盐胁迫,表明HEB是多倍化后形成的,属于静态非条件性的调控创新。类型III具有显著的homoeolog:treatment效应,表明HEB是继承亲本状态下对盐胁迫的响应,属于条件性的“亲代遗产”。类型IV具有显著的homoeolog:polyploidy:treatment效应,表明HEB是多倍化后形成的对盐胁迫的响应,属于条件性的调控创新。分析结果(图2)发现多倍体棉种中,不响应盐胁迫的类型I和类型II在数量没有显著差异,“亲代遗产”与调控创新对HEB的贡献各占一半。而非常有趣的是,在盐胁迫条件下类型IV的数量远高于类型III,这表明四倍体棉花的盐胁迫响应机制主要来源于多倍化之后的调控创新形成,而不是从二倍体遗传来的“亲代遗产”,这可能是由多倍体基因组中一系列复杂的重复基因和调控因子所介导的([3])。


2 AD1和AD2中的4种HEB类型;引用自(Dong et al. 2022)图4


综上,该研究比较了四种密切相关的二倍体和多倍体棉种对盐胁迫的不同转录响应反应,深入探讨了多倍体在盐胁迫条件下调控机制的不同进化来源。研究结果表明,异源多倍体能够通过创新调控获得相对于其二倍体祖先更广泛灵活的应激反应,这为研究不同环境下多倍体的适应性进化提供了新的见解。


董亚婷博士(现新加坡淡马锡生命科学实验室博士后)为该论文第一作者,Jonathan F. Wendel教授、祝水金教授与胡冠菁研究员为该论文共同通讯作者。该工作得到美国国家科学基金、中国留学基金及国家自然科学基金等经费支持。


引用本文

Dong, Y., Hu, G., Grover, C.E., Miller, E.R., Zhu, S. and Wendel, J.F. (2022), Parental legacy
versus regulatory innovation in salt stress responsiveness of allopolyploid
cotton (Gossypium) species. Plant J.


原文链接:doi.org/10.1111/tpj.15863


[1] Van de Peer, Y., Ashman, T.-L., Soltis, P.S. and Soltis, D.E. (2020) Polyploidy: an evolutionary and ecological force in stressful times. Plant Cell.

[2] Dong, Y., Hu, G., Yu, J., Thu, S.W., Grover, C.E., Zhu, S. and Wendel, J.F. (2020) Salt-tolerance diversity in diploid and polyploid cotton (Gossypium) species. The Plant Journal.

[3] Dong, Y., Hu, G., Grover, C.E., Miller, E.R., Zhu, S. and Wendel, J.F. (2022) Parental legacy versus regulatory innovation in salt stress responsiveness of allopolyploid cotton (Gossypium)
species. The Plant Journal.

TOP TOP 主站蜘蛛池模板: 修水县| 孝感市| 金川县| 建德市| 庆阳市| 资中县| 申扎县| 安远县| 襄樊市| 庆城县| 社会| 安新县| 应城市| 武宣县| 嘉义市| 疏附县| 汶川县| 宜良县| 宁蒗| 兰西县| 开平市| 砚山县| 社会| 塘沽区| 亳州市| 绥阳县| 鄯善县| 万荣县| 罗山县| 云阳县| 尼玛县| 什邡市| 沂源县| 县级市| 曲松县| 保康县| 泰来县| 德格县| 彭州市| 嘉兴市| 信丰县|